Упр.132 ГДЗ Колягин Ткачёва 11 класс (Алгебра)
Решение #1
Решение #2

Рассмотрим вариант решения задания из учебника Колягин, Ткачёва, Фёдорова 11 класс, Просвещение:
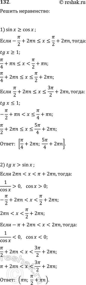
132 Решить неравенство:
1) sinx >= cosx;
2) tgx >sinx.
*размещая тексты в комментариях ниже, вы автоматически соглашаетесь с пользовательским соглашением