Упр.246 ГДЗ Алимов 10-11 класс (Алгебра)
Решение #1
Решение #2

Рассмотрим вариант решения задания из учебника Алимов, Колягин, Ткачёва 10 класс, Просвещение:
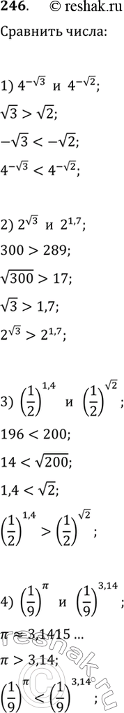
246 Сравнить числа:
1) 4^- корень 3 и 4^- корень 2;
2) 2^ корень 3 и 2,17^1,7;
3) (1/2)1,4 и (1/2)корень 2;
4) (1/9)пи и (1/9)3,14.
*размещая тексты в комментариях ниже, вы автоматически соглашаетесь с пользовательским соглашением