Упр.396 ГДЗ Алимов 10-11 класс (Алгебра)
Решение #1
Решение #2

Рассмотрим вариант решения задания из учебника Алимов, Колягин, Ткачёва 10 класс, Просвещение:
Решить неравенство (396—397).
396. 1) log корень 6(х - 4) + log корень 6(x + 1) <= 2;
2) log3 корень 2 (x-5) + log3 корень 2(x + 12) <= 2
3) log3 (8x2 + x) > 2 + log3(x2) + log3x;
4) log2(x) + log2(x - 3) > log2(4);
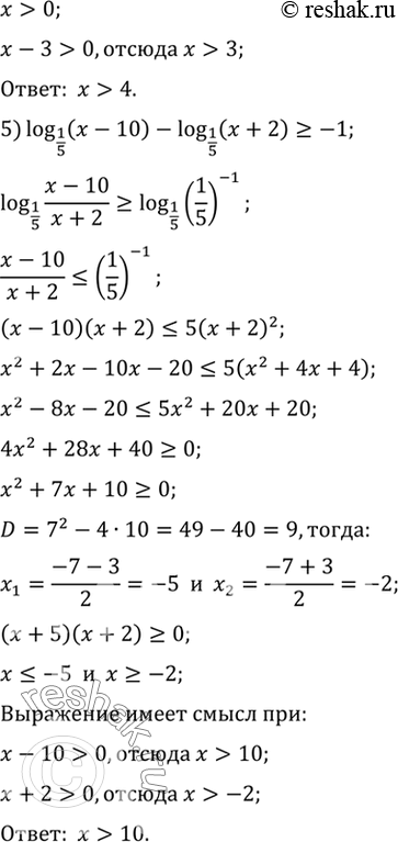
5) log1/5(x - 10) - log1/5(x + 2) >= - 1;
6) log 1/корень 7(x + 10) + log 1/корень 7(x + 4) > -2.
*размещая тексты в комментариях ниже, вы автоматически соглашаетесь с пользовательским соглашением