Упр.487 ГДЗ Алимов 10-11 класс (Алгебра)
Решение #1
Решение #2

Рассмотрим вариант решения задания из учебника Алимов, Колягин, Ткачёва 10 класс, Просвещение:
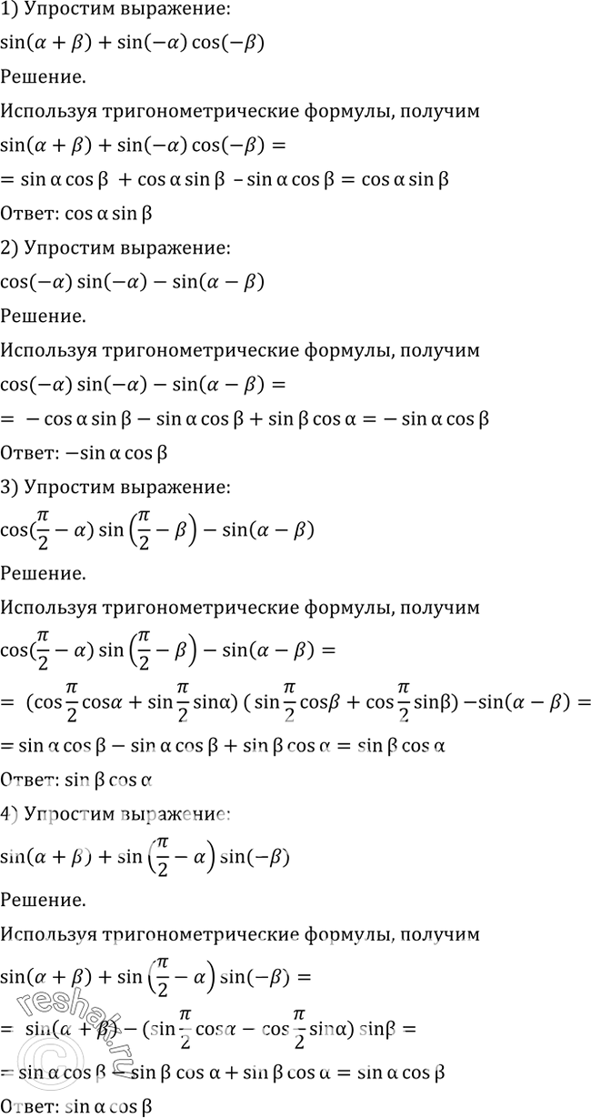
487 Упростить выражение:
1) sin (а + b) + sin (-а) cos (-b);
2) cos (-а) sin (-b) - sin (а - b);
3) cos (пи/2 - a) * sin (пи/2 - b)- sin(a-b);
4) sin (а + b) + sin(пи/2 - a) * sin (-b).
*размещая тексты в комментариях ниже, вы автоматически соглашаетесь с пользовательским соглашением