Упр.529 ГДЗ Макарычев Миндюк 9 класс (Алгебра)

Решение #1

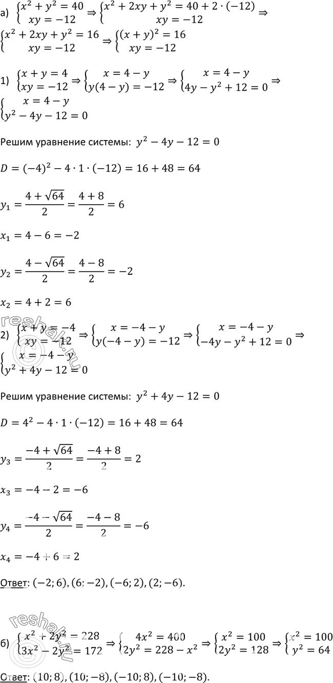
Изображение 529. Решите систему уравнений:а) системаx2+y2=40,xy=-12;б)...

Решение #2

Изображение 529. Решите систему уравнений:а) системаx2+y2=40,xy=-12;б)...
Дополнительное изображение
Дополнительное изображение
Загрузка...

Рассмотрим вариант решения задания из учебника Макарычев, Миндюк, Нешков 9 класс, Просвещение:
529. Решите систему уравнений:
а) система
x2+y2=40,
xy=-12;
б) система
x2+2y=228,
3x2-2y2=172.
*Цитирирование задания со ссылкой на учебник производится исключительно в учебных целях для лучшего понимания разбора решения задания.
*размещая тексты в комментариях ниже, вы автоматически соглашаетесь с пользовательским соглашением