Упр.571 ГДЗ Макарычев Миндюк 9 класс (Алгебра)
Решение #1
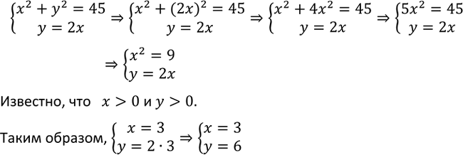
Решение #2

Рассмотрим вариант решения задания из учебника Макарычев, Миндюк, Нешков 9 класс, Просвещение:
571. Найдите пару положительных чисел х и у, удовлетворяющих уравнению х2 + у2 = 45, если известно, что у вдвое больше х.
*размещая тексты в комментариях ниже, вы автоматически соглашаетесь с пользовательским соглашением