Упр.917 ГДЗ Макарычев Миндюк 9 класс (Алгебра)
Решение #1
Решение #2

Рассмотрим вариант решения задания из учебника Макарычев, Миндюк, Нешков 9 класс, Просвещение:
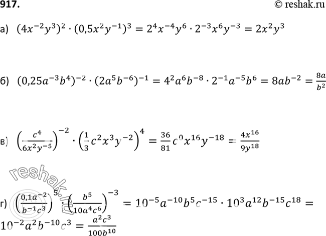
917. Упростите выражение:
а) (4x^-2y3)2 * (0,5x2y^-1)3;
б) (0,25a^-3b4)^-2 * (2a5b^-6)^-1;
в) (c4/6x2y^-5)^-2 * (1c2x3y^-2/3)4;
г) (0,1a^-2/ b^-1c3)5 * (b5/10a4c6)^-3.
*размещая тексты в комментариях ниже, вы автоматически соглашаетесь с пользовательским соглашением