Упр.1.7 ГДЗ Мордкович 9 класс (Алгебра)
Решение #1
Решение #2

Рассмотрим вариант решения задания из учебника Мордкович 9 класс, Мнемозина:
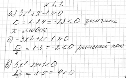
1.7.а)3х2+х+2>0;
б)-Зх2+2х-1>=0;
в)5х2-2х+1<0;
г)-7х2+5х-2<=0.
*размещая тексты в комментариях ниже, вы автоматически соглашаетесь с пользовательским соглашением