Упр.17.10 ГДЗ Мордкович 9 класс (Алгебра)
Решение #1
Решение #2

Рассмотрим вариант решения задания из учебника Мордкович 9 класс, Мнемозина:
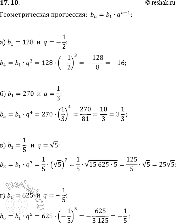
17.10. Последовательность (bn) — геометрическая прогрессия.
Найдите:
а) b4, если b1 = 128, q = -1/2;
б) b5, если b1= - 270, q = 1/3;
в) b8, если b1 = 1/5, q = корень 5;
г) b6, если b1= 625, q = -1/5.
*размещая тексты в комментариях ниже, вы автоматически соглашаетесь с пользовательским соглашением