Упр.697 ГДЗ Макарычев Миндюк 9 класс (Алгебра)
Решение #1
Решение #2

Рассмотрим вариант решения задания из учебника Макарычев, Миндюк, Нешков 9 класс, Просвещение:
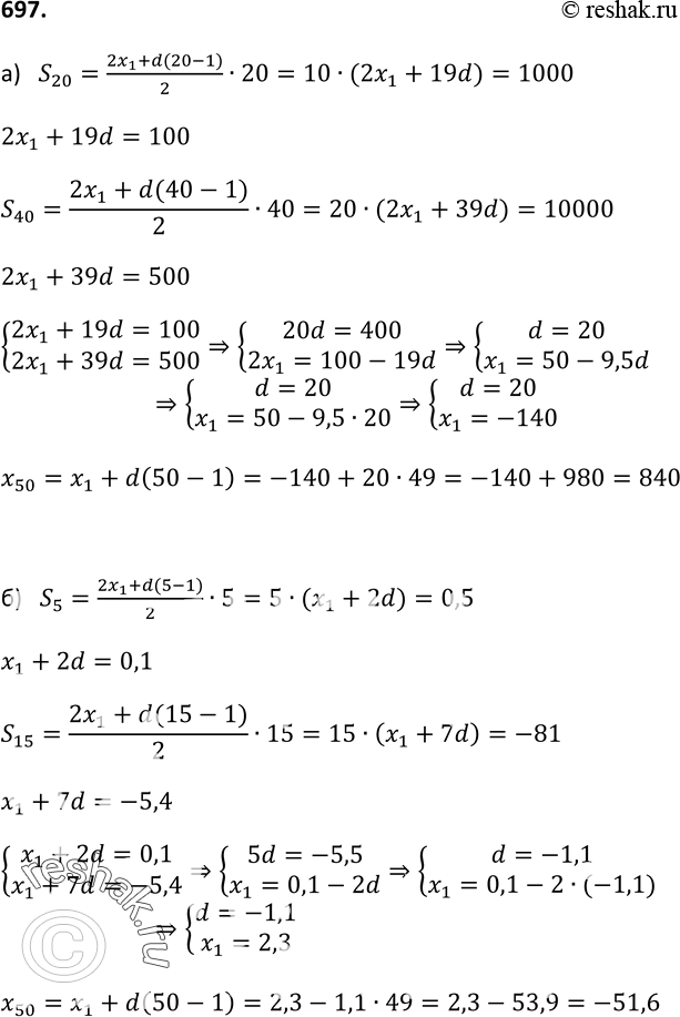
697 Найдите пятидесятый член арифметической прогрессии, если:
а) S20 = 1000, S40 = 10 000;
б) S5 = 0,5, S15 = -81.
*размещая тексты в комментариях ниже, вы автоматически соглашаетесь с пользовательским соглашением