Упр.883 ГДЗ Макарычев Миндюк 9 класс (Алгебра)
Решение #1
Решение #2

Рассмотрим вариант решения задания из учебника Макарычев, Миндюк, Нешков 9 класс, Просвещение:
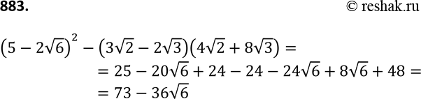
883. Упростите выражение
(5 - 2 корень 6)2 - (3 корень 2 - 2 корень 3)(4 корень 2 + 8 корень 3).
*размещая тексты в комментариях ниже, вы автоматически соглашаетесь с пользовательским соглашением