Упр.886 ГДЗ Макарычев Миндюк 9 класс (Алгебра)
Решение #1
Решение #2

Рассмотрим вариант решения задания из учебника Макарычев, Миндюк, Нешков 9 класс, Просвещение:
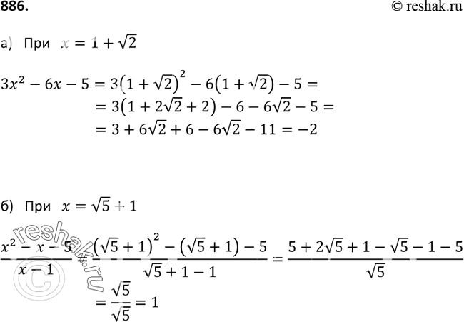
886. Найдите значение:
а) многочлена 3х2 - 6х - 5 при x=1+ корень 2;
б) дроби (х2 - х - 5)/(x-1) при х = (корень 5) +1.
*размещая тексты в комментариях ниже, вы автоматически соглашаетесь с пользовательским соглашением