Упр.887 ГДЗ Макарычев Миндюк 9 класс (Алгебра)
Решение #1
Решение #2

Рассмотрим вариант решения задания из учебника Макарычев, Миндюк, Нешков 9 класс, Просвещение:
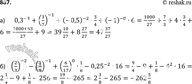
887. Найдите значение выражения:
а) 0,3^-3 + (3/7)^-1 + (-0,5)^-2 * 3/4 + (-1)^-8 *6;
б) (2/3)^-2 - (1/9)^-1 + (6/17)0 * 1/8 - 0,25^-2 * 16.
*размещая тексты в комментариях ниже, вы автоматически соглашаетесь с пользовательским соглашением