Упр.688 ГДЗ Макарычев Миндюк 9 класс (Алгебра)
Решение #1
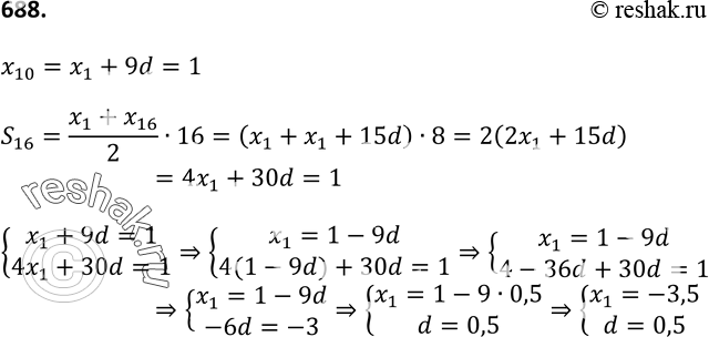
Решение #2

Рассмотрим вариант решения задания из учебника Макарычев, Миндюк, Нешков 9 класс, Просвещение:
688. Найдите разность арифметической прогрессии (xn) и её первый член, если десятый член этой прогрессии равен 1 и сумма первых шестнадцати её членов равна 4.
*размещая тексты в комментариях ниже, вы автоматически соглашаетесь с пользовательским соглашением