Упр.690 ГДЗ Макарычев Миндюк 9 класс (Алгебра)
Решение #1
Решение #2

Рассмотрим вариант решения задания из учебника Макарычев, Миндюк, Нешков 9 класс, Просвещение:
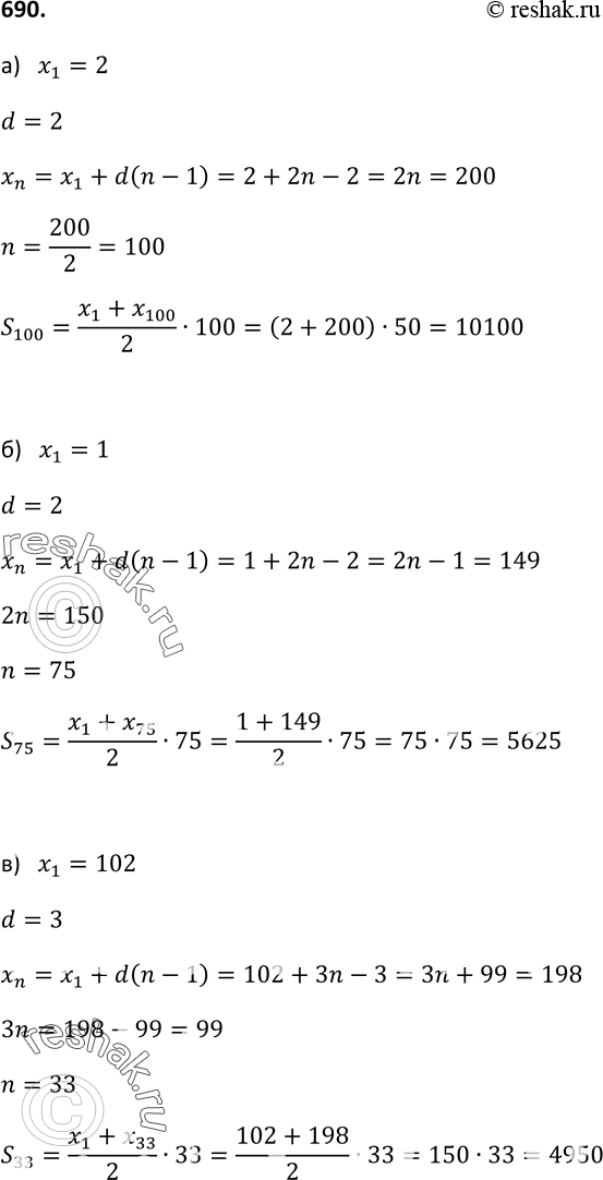
690. Найдите сумму:
а) всех натуральных чётных чисел, не превосходящих 200;
б) всех натуральных нечётных чисел, не превосходящих 150;
в) всех натуральных чисел, кратных 3, заключённых в промежутке от 100 до 200.
*размещая тексты в комментариях ниже, вы автоматически соглашаетесь с пользовательским соглашением